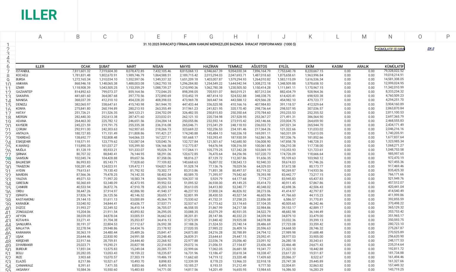
Kastamonu'daki "madencilik" sektörü Eylül ayındaki 6 milyon 489 bin 51 Dolar'lık "dip" ihracat tutarının akabinde Ekim ayında yine/yeniden ivmesini yükselterek 31 milyon 770 bin 81 Dolar'a çıktı...
Eylül ayında "sıfır" çeken "mücevher" sektörü Ekim ayındaki 16 milyon 707 bin 60 Dolar turarındaki ihracatı ile gemiyi kurtardı çünkü.

Demem o ki...
Mücevher sektörü yoksa Kastamonu ihracatı yok.
"Mücevher" sektörünün kaynak ve iştigal konusunu önceki yazılarımda kaydetmiştim, "kuyum" değil, "maden"...
"Hammadde".
Her ne kadar farkında olamasa da "yerlisi"...
Taşı toprağı "altın" Kastamonu.
Eylül ayında "mücevher" sektörü "0.01 Dolar" çekerek Kastamonu'nun ihracat gemisini "batırmıştı"...
Ağustos ayındaki "12 milyon 754 bin 13 Dolar" ihracattan sonra besbelli "mola" evresiymiş ki Ekim'de Ağustos' u yüzde 33 oranında aşan pozitif fark yarattı.
10 ay sonunda Kastamonu ihracat tutarı ne oldu?...
"392 milyon 855 bin 59 Dolar".
81 vilayetli ihracat liginde...
32'nci sırada Kastamonu.
(Kastamonu'nun "mücevher" haricindeki "madencilik" sektörleri de "istim" üstünde...
Ekim ayında "Demir ve Demir Dışı Metaller" 4 milyon 503 bin 10 Dolar", "Kimyevi Maddeler ve Mamülleri" 3 milyon 686 bin 6 Dolar ve "Madencilik Ürünleri" 3 milyon 59 bin 31 Dolar ile 2'nci, 3'üncü ve 4'üncü sırada yer aldılar.
Görüldü üzere...
Kastamonu "madencilik ili".
Madencilik sektörü dışından "7" haneli ihracat rakamına ulaşabilen tek sektörü var Kastamonu'nun...
İl içi ihracat liginde anca 5'inci sıradaki "Hazırgiyim ve Konfeksiyon" sektörü "2 milyon 132 bin 62 Dolar" ihraç rakamı ile.
Kastamonu için dile getirilen "orman, tarım ve hayvancılık, turizm" sektörlerinin en azından ihracat mevzulu cümlede esamesi yok...
Varsa yoksa madencilik.
"Hazırgiyim ve konfeksiyon" sektörünün 5'inci sıradan listeye dahil olması belki de son "bahar ayları"...
Türkiye ile koşut Kastamonu'da da sektörün hayli sıkıntıda olduğu, kapanmaların yaşandığı, il hatta ülke dışına fabrika taşımalarının sür gittiğini göz ardı etmemeliyiz.
Hazırgiyim ve konfeksiyon sektörünün "emek yoğun" olması Kastamonu için ayrı bir handikap ayrıca...
İşsiz kalan yüzlerce emekçi söz konusu.

(81 vilayetli ihracat liginin ilk 35'lik dilimine "Kastamonu yöresinden" 4 ilin girmesini ayrıca göz önünde tutmak ve yorumlamak lazım gele...
"Çorum, Çankırı, Kastamonu, Karabük".
Kastamonu ve sınır komşuları...
Sırasıyla "15, 29, 32 ve 33'üncü" sıradalar.
Hal böyleyken...
İhracatta öndeki bu illerin özellikle "Kastamonu" ve "Çankırı" özelinde "sosyal gelişmişlik" ligindeki "alt sıra" hallerine ne demeli peki?
"İl SEGE-2025" veri dosyası üzerinden yeniden/yine kafa yormakta fayda var...
Bir yanı "yaz", diğer yanı "kış", "yazı-kışı".
İhracatın ilin sosyo-ekonomik bütününe katkısı ne ola?...
İhracatla koşut il gelişir mi?
İli geliştirici ihracat nedir?...
İhracatından bihaber sosyoloji olur mu?
Kastamonu ihracatının ilin bütününe sosyo-ekonomik faydası olmadığını düşünenlerdenim...
Gerçi aynı güzergahta başka bir düşünen var mı o da muallak.)

Not: Kastamonu'ya "porsuk" dadandı...
Tarla ve sebze bahçelerini "üs" tuttu mendebur.
"Porsuk" ne ola?...
"Sansargiller" familyası üyesi.
Bitki "porsuk" da var ayrıyeten...
"Yerkeşim yeri" de ilaveten.
Kastamonu çiftçisine "Yandım anam" dedirtecek kadar bela "porsuk"...
Misal, mısır tarlasına girmeye görsün, dibinden-tepesinden koçanları yerle yeksan etmekte pek marifetli.
Sebze de seviyor...
"Biçiyor" bahçeyi boydan boya.
Son yıllarda nesli epeyce türedi...
"Koloni" haline geldiler.
Muhakkak ki doğanın dengesinin bozulmasının tezahürü...
Bir şey azalacak ki öbür şey artacak.
Hayvan hastalığı "şap" sigorta kapsamında değil de...
"Porsuk zararı" sigorta kapsamında mı?
Sigorta kapsamındaki domuz zararından çok daha fazlasına sebebiyet verirken üstüne üstlük...
Yeni bir düşman ayrıca, henüz nasıl savunulur bilinmiyor, "kontra tehdit".