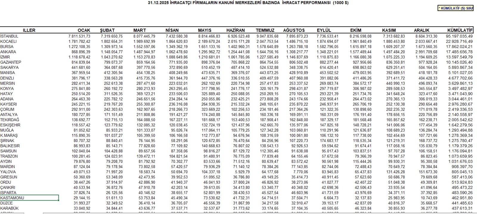
“Türkiye İstatistik Kurumu” (TÜİK) ve “Ticaret Bakanlığı” iş birliğiyle genel ticaret sistemi kapsamında üretilen geçici dış ticaret verilerine göre Kastamonu’nun “faaliyet iline göre “2025” ihracatı “132 milyon 495 bin” dolar, “illere göre” ihracatı “381 milyon 501 bin dolar, “Türkiye İhracatçılar Meclisi’ne göre” ihracatı “462 milyon 951 bin” dolar…
“Seç, beğen, al”.
Kafa karışıklığına gerek yok elbette…
Fakın sebebi hikmetini 7 Ocak tarihli https://www.kastamonuistiklal.com/kastamonulu-firmalar-ihracatci-olmayinca-hesap-sasiyor-mu yazımda ayrıntısıyla ifade etmiştim, TÜİK firmaların “fiili üretim ve ihracat faaliyetlerini” esas alıyor ve merkez adreslerinden bağımsız olarak gerçek üretim kuruluşlarındaki ihracata odaklanıyor, TİM ise ihracat verilerini ülkemizin farklı bölgelerindeki ihracatçı birliklerinden topluyor ve firmaların “merkezlerini” ve “beyanlarını” esas alınıyor.

Hal böyle olunca “TÜİK” ve “TİM” verileri uyuşmuyor…
İllerin özelliklerine göre kiminde biri yüksek çıkarken kiminde de öteki yüksek çıkıyor.
Kastamonu özelinde bakıldığında, TİM’in kayıt altına aldığı ihracat verileri TÜİK’e göre katbekat yüksek, keza TÜİK’in iki verisi arasında da “illere göre” sütunu “faaliyet iline göre” karşısında çok ama çok yüksek…
Kötümserler TİM’i baz alsın!
(Kastamonu’nun TÜİK’e göre “faaliyet ili” sütununda “2025 Aralık” ihracatı “12 milyon 20 bin” dolar…
12 ay bütününe bakıldığında “en yüksek ihracat yapılan ay”.
Yine TÜİK’in “illere göre” ihracatında ise Kastamonu’nun “2025 Aralık” ihracatı ise “11 milyon 353 bin” dolar…
12 ay bütününe bakıldığında “en düşük ihracat yapılan ikinci ay”.

TİM’e göre Kastamonu’nu “2025 Aralık” ihracatı “10 milyon 743 bin” dolar…
12 ay bütününe bakıldığında “en düşük ihracat yapılan ikinci ay”.
Kastamonu ihracatına dair “TÜİK” ve “TİM” verileri arasındaki diğer aylardaki “muazzam” uçurumlar dikkate alındığında…
“2025 Aralık” ayında “makas dar”.
Kastamonu ihracatı “10-12” milyon dolar bandında…
İldeki kaç OSB ve sair işletmeden çıka çıka bu kadar mı “ihracat” çıktı?
Mevcut itibarı ile öyle görünüyor ki…
“Üstyapı” mevcudun üstünde henüz lojistik “altyapı” talep edecek düzeyde değil, ancak, lojistik “altyapı” düzeyi yükselirse belki ve belki “üstyapı” mevcut imalat ve ihracat düzeyinin üzerine çıkabilir.
O da müşkül…
“Göle maya çalmak” ile eş.)
(“İthalat” haline de bakalım Kastamonu’nun…
İhracatın neresinde boyu?
TÜİK verisine göre Kastamonu’nun 2025 yılı ithalatı “164 milyon 662 bin” dolar…
TÜİK’in “faaliyet iline göre” ihracat rakamına oranla ithalat daha “yüksek”, TÜİK’in “illere göre” ihracat rakamına nazaran daha “az”.
Kastamonu’nun “2024” ithalatı “126 milyon 709 bin” dolar idi…
2025 yılında ithalat “az da” olsa “üzerine koydu”.
2023 yılı “152 milyon 558 bin” dolar…
2022 “241 milyon 755 bin” dolar.

İhracatın ithalatın üzerinde olması “değerli”…
Aksi hal “cari açık”.
Diğer yandan “ithalat” eğer yerelde olmayan hammadde ise ve imalat süreçlerinde “katmadeğerli ürüne” dönüşüyorsa “değerli”…
Direkt “tüketim” ise “geçmiş olsun”.
Bir parantez daha açmak lazım…
Hammadde ithalatı eğer yereldeki hammadde varlığına rağmen yapılıyorsa bir “geçmiş olsun “daha.
Kapılar kapıları açıyor…
Kapılar kapıları kapatıyor.)
(Kastamonu’nun “tek” gümrük kapısı var…
“İnebolu”.
TÜİK verisi üzerinden…
Kastamonu’nun “ihracat” ve “ithalat” çıktısı ve girdisine bakalım.
“İnebolu Gümrük Müdürlüğü” vasıtası ile 2025 yılında toplam ihracat “12 milyon 910 bin” dolar...
Bütünün “çok azı”.

Kırşehir Gümrük Müdürlüğü “118 milyon 348 bin” dolar…
Bozüyük Gümrük Müdürlüğü “72 milyon 897 bin” dolar.
Uşak Gümrük Müdürlüğü “49 milyon 280 bin” dolar…
Alaşehir Gümrük Müdürlüğü “173 milyon 617 bin” dolar.
“İthalat” ise…
İnebolu Gümrük Müdürlüğü 2025 yılı ithalat rakamı “36 milyon 822 bin” dolar.
Giresun Gümrük Müdürlüğü “303 milyon 528 bin” dolar…
Bartın Gümrük Müdürlüğü “216 milyon 820 bin” dolar.
Hal böyleyken…
“İnebolu Gümrük Müdürlüğü” sanki mevcut ihracat ve ithalat haline yetişemiyormuş gibi bir de “Kastamonu Gümrük Müdürlüğü” talebi var ki güler misin ağlar mısın?)