Kastamonu İstiklal Haber Merkezi’ne ulaşan bir memur, özellikle şeflik ve şube müdürlüğü sınavlarında yüksek puan alan bazı adayların elendiğini iddia etti.
Gazetemize ulaşan mesajda, yazılı sınavda yüksek puan almasına rağmen sözlü değerlendirme sonrası başarısız sayıldığını belirten bir kamu çalışanı, sınav sürecinin yeniden incelenmesi gerektiğini savundu.
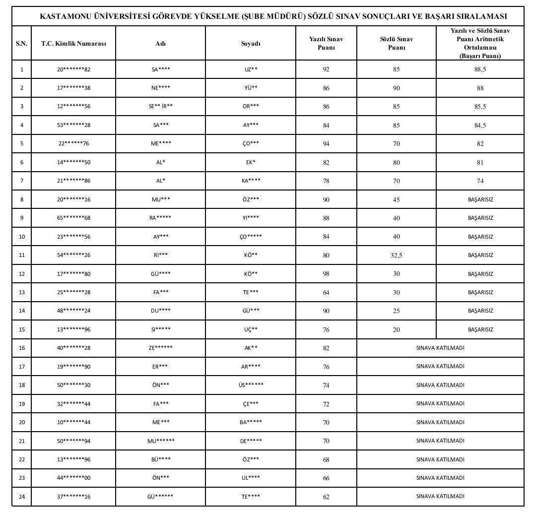
YÜKSEK PUAN ALANLARIN ELENDİĞİ İDDİASI
İddiada bulunan kişi, şeflik sınavında bazı adayların yüksek puan almasına rağmen elendiğini öne sürerek şu ifadeleri kullandı:
“Şeflik sınavında 90 puan alan kişiler elendi, 60 puan alanların başarılı sayıldığı durumlar oldu. Bu süreçte adam kayırma ve adaletsizlik yapıldığını düşünüyoruz.”
Memur, benzer iddiaların şube müdürlüğü sınavı için de dile getirildiğini belirterek, konunun kamuoyuna yansımasını istediklerini ifade etti.
ULUSAL BASINDA DA GÜNDEME GELMİŞTİ
Kastamonu Üniversitesi’nde yapılan görevde yükselme sınavı daha önce ulusal basına yansımıştı. BirGün gazetesi internet sitesinde 1 Mart 2026 tarihinde yayımlanan haberde, sınav sürecine ilişkin bazı dikkat çekici sonuçlara yer verildi.
Haberde aktarılan bilgilere göre üniversitede 13 Aralık 2025’te Görevde Yükselme ve Unvan Değişikliği Sınavı yapıldı. Yazılı sınav sonuçlarına yapılan itirazların ardından 12 Ocak 2026’da bazı puanlarda düzeltme yapıldığı ve nihai sonuçların açıklandığı bildirildi.
Daha sonra gerçekleştirilen 16-17 Şubat 2026 tarihli sözlü sınavlara 15 kişinin katıldığı ve 7 kişinin başarılı olduğu ifade edildi. Haberde, yazılı sınavda üst sıralarda bulunan bazı adayların sözlü sınav sonrasında başarısız sayıldığına dikkat çekildi.
İddiaya göre yazılı sınavda 98 puanla birinci olan bir adayın sözlü sınavda 30 puan aldığı ve sıralamada geriye düştüğü öne sürüldü. Yazılı sınavda yüksek puan alan bazı diğer adayların da sözlü sınav sonrası elendiği aktarıldı.
Aynı haberde sözlü sınavda üst sıralarda yer alan bazı kişilerin üniversitede görev yaptığına dair iddiaların da yer aldığı belirtildi.
AÇIKLAMA BEKLENİYOR
Sınav sürecine ilişkin farklı iddiaların gündeme gelmesi üzerine gözler Kastamonu Üniversitesi’nden yapılacak olası açıklamaya çevrildi.
Kastamonu İstiklal olarak söz konusu iddialara ilişkin üniversite yönetiminin görüşlerine de yer vermeye hazır olduğumuzu belirtiriz.
HABERE KONU OLAN BİRGÜN GAZETESİNİN HABERİNE ULAŞMAK İÇİN TIKLAYINIZ!
DİKKAT ÇEKEN SINAVIN SONUÇLARI İSE ŞÖYLE:







