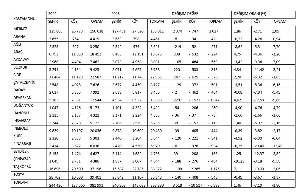
EN BÜYÜK NÜFUS TOSYA’DA
Adrese Dayalı Nüfus Kayıt Sistemi (ADNKS) sonuçlarına göre 39 bin 949 kişi ile nüfusu en çok olan ilçemiz Tosya olurken, 38 bin 372 kişi ile Taşköprü, 20 bin 480 ile İnebolu ve 18 bin 676 nüfusla Araç ilçesi takip etti.
YILLIK NÜFUS ARTIŞ HIZI ‰ (BİNDE)-18,2 OLARAK GERÇEKLEŞTİ
Yıllık nüfus artış hızı 2023 yılında ‰28,4 iken, 2024 yılında ‰-18,2 oldu. Kastamonu nüfus artış hızı bakımından 81 il içerisinde 70. sırada bulunuyor.
İL VE İLÇE MERKEZLERİNDE YAŞAYANLARIN ORANI %64,0 OLDU
İl ve ilçe merkezlerinde ikamet edenlerin oranı 2023 yılında %61,9 iken, bu oran 2024 yılında %64,0 olarak gerçekleşti.
MERKEZ İLÇEDE İKAMET EDEN NÜFUS BİR ÖNCEKİ YILA GÖRE 1 627 KİŞİ ARTTI
Kastamonu nüfusunun %41,0'inin ikamet ettiği Merkez ilçe, 156 638 kişi ile en çok nüfusa sahip ilçe oldu. Bunu sırasıyla takip eden ilçeler; %10,3 ile (39 401 kişi) Tosya, %9,7 ile (37 196 kişi) Taşköprü ve %5,9 ile (22 587 kişi) Cide'dir. Ağlı ilçesi ise 3 250 kişi ile en az nüfusa sahip ilçe oldu.
2023 yılına göre sadece Merkez ilçenin nüfusu artarken, Diğer 19 ilçenin nüfusu azaldı.
KASTAMONU MERKEZ İLÇESİ BELEDİYE NÜFUSU 129 865 OLDU
Kastamonu Merkez İlçesi Belediye nüfusu ise geçen yıla göre 2 374 kişi artarak 129 865 kişi oldu
KASTAMONU YAŞLANMAYA DEVAM ETTİ
Kastamonu'da 15-64 yaş grubunda bulunan (çalışma çağındaki) nüfusun oranı, 2023 yılına göre %0,5 azalarak %65,1 (248 698 kişi) olarak gerçekleşti. Çocuk yaş grubundaki (0-14 yaş grubu) nüfusun oranı ise %0,2 azalarak %14,7 (56 130 kişi) olurken, 65 ve daha yukarı yaştaki nüfusun oranı da %0,73 artarak %20,2’ye (77 163 kişi) yükselmiştir.
ORTANCA YAŞI EN YÜKSEK OLAN 3. İL OLDU
Ortanca yaşın illere göre dağılımına bakıldığında, Sinop'un 43,4 ile en yüksek ortanca yaş değerine sahip il olduğu görüldü. Sinop'u, 42,9 ile Giresun ve Kastamonu izledi. Kastamonu’da 2023 yılında 42,4 olan ortanca yaş, 2024 yılında 42,9'a yükseldi. Cinsiyete göre incelendiğinde ortanca yaş erkeklerde 41,3’den 41,6’ya yükseldi. Kadınlarda ise 43,5’den, 44,1'e yükseldiği görüldü. Kastamonu ortanca yaşı en yüksek olan 3. il oldu.
KASTAMONU'DA KİLOMETREKAREYE DÜŞEN KİŞİ SAYISI 29 KİŞİ OLDU
Nüfus yoğunluğu olarak ifade edilen "bir kilometrekareye düşen kişi sayısı”, Türkiye genelinde 2024 yılında 111 kişi oldu. Kastamonu'da kilometrekareye düşen kişi sayısı ise 2024 yılında 29 kişi oldu.






