YKS sınavına giren öğrenciler sınav sonuçlarını beklerken üniversite araştırmalarına başladı. Kastamonu Üniversitesi’ni tercih etmek isteyen adaylar ise Kastamonu Üniversitesi taban puanlarını, Kastamonu Üniversitesi bölümlerinin başarı sıralamasını, Kastamonu Üniversitesi bölümlerinin kontenjanlarını araştırmaya başladılar. Haberimizde Kastamonu Üniversitesi taban puanları, Kastamonu Üniversitesi başarı sıralaması gibi detaylara ulaşabileceksiniz.
Kastamonu Üniversitesi Nasıl bir üniversite, Kastamonu Üniversitesi tercih edilir mi?
Kastamonu Üniversitesi: Tarih, Kültür ve Akademik Mükemmeliyet
Kastamonu Üniversitesi, Türkiye'nin en prestijli ve köklü yükseköğretim kurumlarından biridir. Eşsiz tarihi, derin kültürel mirası ve akademik mükemmeliyetiyle ön plana çıkan üniversite, öğrencilere benzersiz bir eğitim deneyimi sunmaktadır.
Kastamonu Üniversitesi, köklü bir geçmişe sahip olan Kastamonu şehrinin kalbinde yer almaktadır. Şehir, zengin tarihi dokusuyla bir açık hava müzesini andırmaktadır. Üniversite öğrencileri, tarihi Kastamonu Kalesi'ni, Nasrullah Meydanı'nı ve Şeyh Şaban-ı Veli Türbesi'ni keşfederek geçmişe yolculuk yapma fırsatı bulurlar. Ayrıca, modern olarak dizayn edilmiş devasa üniversite kampüsü öğrencilere eşsiz bir atmosfer sunar.
Kastamonu Üniversitesi, disiplinler arası bir eğitim anlayışıyla öğrencilerini geleceğe hazırlar. Geniş bir akademik yelpazede sunulan önlisans, lisans, yüksek lisans ve doktora programları ile öğrencilere kapsamlı bir eğitim imkanı sunulur. Mühendislik, fen-edebiyat, sağlık bilimleri, sosyal bilimler, eğitim, tarım ve daha birçok alanda uzmanlaşma fırsatı bulan öğrenciler, kendilerini istedikleri alanda geliştirme şansına sahip olurlar.
Kastamonu Üniversitesi'nin akademik kadrosu, alanında öncü ve deneyimli akademisyenlerden oluşmaktadır. Öğrenciler, bu donanımlı akademisyenler eşliğinde bilimsel araştırmalar yaparak keşiflerde bulunma fırsatı elde ederler. Üniversitenin modern laboratuvarları ve araştırma merkezleri, öğrencilerin teorik bilgilerini pratik uygulamalarla pekiştirmelerine olanak sağlar. Ayrıca, uluslararası işbirlikleri ve proje çalışmalarıyla üniversite, bilimsel dünyada da saygın bir konuma sahiptir.
Kastamonu Üniversitesi, öğrencilerin sadece akademik değil aynı zamanda sosyal ve kültürel yönden de gelişmelerine önem verir. Kampus içindeki öğrenci kulüpleri, sanat etkinlikleri ve spor tesisleri sayesinde öğrenciler zengin bir sosyal yaşam sürdürebilirler.
Bu doğrultuda Kastamonu Üniversitesi tercih edilebilecek üniversiteler arasında ilk sıralarda yer almaktadır.
Üniversite Taban Puanı Nedir?
Taban puanı, üniversiteye girişte adayların yerleştirme sürecinde başvurdukları bir programın veya fakültenin belirlediği en düşük puanı ifade eder. Yani, taban puanı o programı veya fakülteyi tercih eden adayların en düşük puanıdır.
ÖSYM (Ölçme, Seçme ve Yerleştirme Merkezi), her yıl yapılan Yükseköğretim Kurumları
Sınavı (YKS) sonuçlarına göre puanları hesaplar ve üniversitelere gönderir. Üniversiteler, kontenjanlarına ve programlarının taleplerine göre taban puanlarını belirlerler. Bu puanlar, başvuran adayların sınav puanları ve diğer kriterlere göre değişebilir.
Taban puanı, o programı veya fakülteyi tercih eden adayların en düşük puanı olduğu için, bu puanın üzerindeki adaylar genellikle o programa veya fakülteye yerleşme hakkı kazanır. Ancak, taban puanı her yıl değişebilir ve talebe bağlı olarak artabilir veya azalabilir.
Taban puanı, öğrencilerin üniversite tercihlerinde bir kılavuz niteliği taşır. Öğrenciler, tercih edecekleri programların veya fakültelerin taban puanlarını dikkate alarak sıralama yapabilir ve tercihlerini buna göre yapabilirler.
Üniversite Tavan Puanı Nedir?
Tavan puanı, üniversiteye girişte adayların yerleştirme sürecinde başvurdukları bir programın veya fakültenin belirlediği en yüksek puanı ifade eder. Yani, tavan puanı o programı veya fakülteyi tercih eden adayların en yüksek puanıdır.
Tavan puanı, başvuran adayların sınav puanlarına, yerleştirme koşullarına ve programın talebine bağlı olarak değişir. ÖSYM (Ölçme, Seçme ve Yerleştirme Merkezi) tarafından hesaplanan ve üniversitelere iletilen puanlar, üniversitelerin kontenjanları ve programların talepleri doğrultusunda belirlenen tavan puanlarına göre yerleştirme yapılır.
Tavan puanı, o programı veya fakülteyi tercih eden adayların en yüksek puanı olduğu için, bu puanın üzerindeki adaylar genellikle o programa veya fakülteye yerleşme hakkı kazanır. Ancak, her yıl değişen koşullar ve başvuran adayların performansı nedeniyle tavan puanı da değişebilir.
Tavan puanı, öğrencilerin üniversite tercihlerinde bir referans noktasıdır. Öğrenciler, tercih edecekleri programların veya fakültelerin tavan puanlarını dikkate alarak sıralama yapabilir ve tercihlerini buna göre yapabilirler.
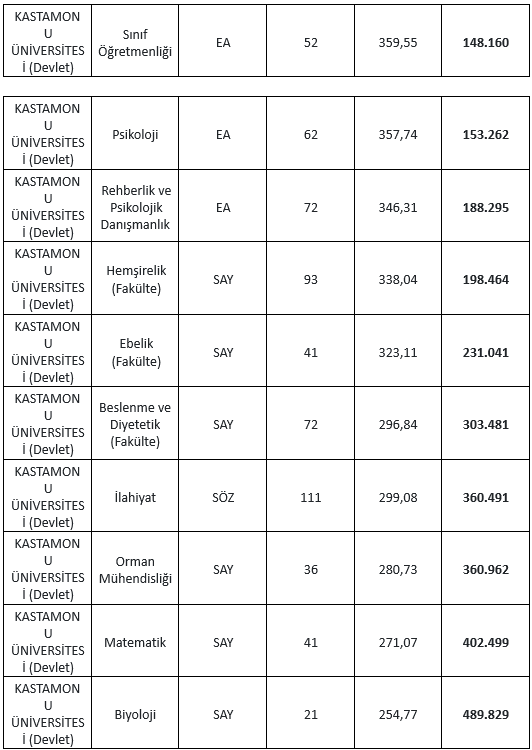
Kastamonu Üniversitesi Önlisans Bölümleri Taban Puanları, Kastamonu Üniversitesi Lisans
Bölümleri Taban Puanları, Kastamonu Üniversitesi Bölümleri Başarı Sıralaması, Kastamonu Üniversitesi Kontenjanları (2022)












Kastamonu Üniversitesi Taban Puanları ve Başarılı Sıralaması ( Son 4 Yıl)
Kastamonu Üniversitesi 2019 – 2020 – 2021 – 2022 Lisan Bölümleri Taban Punları ve Başarı Sıralaması





